Lompat ke konten Lompat ke sidebar Lompat ke footer

Contoh Surat Pelunasan Hutang / Pengertian Surat Perjanjian Hutang Manfaat Contohnya Dan Cara Membuatnya / Pihak pertama akan melakukan pelunasan hutang tersebut dalam jangka waktu 10 (sepuluh) bulan terhitung sejak dilakukannya penandatanganan surat .

Pihak pertama akan melakukan pelunasan hutang tersebut dalam jangka waktu 10 (sepuluh) bulan terhitung sejak dilakukannya penandatanganan surat . Analisis sistem pengendalian intern pada pt. Apabila sobat semua meminjamkan uang kepada orang lain jelas akan ada batas waktu untuk melunasi hutang itu. Contoh surat pernyataan pelunasan pembayaran untuk . Mandalika finance sampai terlunaskannya seluruh hutang ini.

Contoh surat pernyataan kesanggupan melunasi hutang pribadi. 1
1 from
Contoh surat pelunasan hutang pribadi have an image . Mandalika finance sampai terlunaskannya seluruh hutang ini. Hal ini karena mengingat bahwa . Contoh surat penangguhan pembayaran hutang. Terlibat dalam hal utang piutang, maka sebaiknya anda melihat berbagai contoh surat perjanjian pelunasan hutang yang tersebar di internet. Ketika anda meminjam uang dari orang lain dan anda tidak bisa membayarnya dengan tepat waktu, . Sep 18, 2016 · contoh surat pernyataan pelunasan hutang format resmi. Contoh surat pernyataan pelunasan pembayaran untuk .

Contoh surat perjanjian pinjaman uang sederhana.

Hal ini karena mengingat bahwa . Ketika anda meminjam uang dari orang lain dan anda tidak bisa membayarnya dengan tepat waktu, . Surat permintaan pelunasan hutang / piutang adalah salah satu surat yang diperlukan bagian administrasi/keuangan dalam suatu perusahaan yang . Contoh surat perjanjian pinjaman uang sederhana. Contoh surat pernyataan pelunasan pembayaran untuk . Mandalika finance sampai terlunaskannya seluruh hutang ini. Apabila sobat semua meminjamkan uang kepada orang lain jelas akan ada batas waktu untuk melunasi hutang itu. Sep 18, 2016 · contoh surat pernyataan pelunasan hutang format resmi. Contoh surat perjanjian hutang piutang sederhana dengan jaminan bermaterai contoh surat contoh pelunasan utang surat pernyataan pelunasan . Contoh surat pernyataan kesanggupan melunasi hutang pribadi. Dom perignon jetzt online bestellen. Terlibat dalam hal utang piutang, maka sebaiknya anda melihat berbagai contoh surat perjanjian pelunasan hutang yang tersebar di internet. Analisis sistem pengendalian intern pada pt.

Contoh surat perjanjian hutang piutang sederhana dengan jaminan bermaterai contoh surat contoh pelunasan utang surat pernyataan pelunasan . Analisis sistem pengendalian intern pada pt. Ketika anda meminjam uang dari orang lain dan anda tidak bisa membayarnya dengan tepat waktu, . Surat permintaan pelunasan hutang / piutang adalah salah satu surat yang diperlukan bagian administrasi/keuangan dalam suatu perusahaan yang . Contoh surat pernyataan pelunasan pembayaran untuk .

Mandalika finance sampai terlunaskannya seluruh hutang ini. Doc Contoh Kesepakatan Pelunasan Dan Penjaminan Hutang Rika Dwi Academia Edu
Doc Contoh Kesepakatan Pelunasan Dan Penjaminan Hutang Rika Dwi Academia Edu from 0.academia-photos.com
Contoh surat pernyataan pelunasan pembayaran untuk . Contoh surat pernyataan kesanggupan melunasi hutang pribadi. Sep 18, 2016 · contoh surat pernyataan pelunasan hutang format resmi. Contoh surat penangguhan pembayaran hutang. Pihak pertama akan melakukan pelunasan hutang tersebut dalam jangka waktu 10 (sepuluh) bulan terhitung sejak dilakukannya penandatanganan surat . Apabila sobat semua meminjamkan uang kepada orang lain jelas akan ada batas waktu untuk melunasi hutang itu. Mandalika finance sampai terlunaskannya seluruh hutang ini. Ketika anda meminjam uang dari orang lain dan anda tidak bisa membayarnya dengan tepat waktu, .

Contoh surat penangguhan pembayaran hutang.

Mandalika finance sampai terlunaskannya seluruh hutang ini. Contoh surat penangguhan pembayaran hutang. Hal ini karena mengingat bahwa . Pihak pertama akan melakukan pelunasan hutang tersebut dalam jangka waktu 10 (sepuluh) bulan terhitung sejak dilakukannya penandatanganan surat . Contoh surat perjanjian hutang piutang sederhana dengan jaminan bermaterai contoh surat contoh pelunasan utang surat pernyataan pelunasan . Surat permintaan pelunasan hutang / piutang adalah salah satu surat yang diperlukan bagian administrasi/keuangan dalam suatu perusahaan yang . Contoh surat perjanjian pinjaman uang sederhana. Sep 18, 2016 · contoh surat pernyataan pelunasan hutang format resmi. Ketika anda meminjam uang dari orang lain dan anda tidak bisa membayarnya dengan tepat waktu, . Terlibat dalam hal utang piutang, maka sebaiknya anda melihat berbagai contoh surat perjanjian pelunasan hutang yang tersebar di internet. Contoh surat pernyataan kesanggupan melunasi hutang pribadi. Dom perignon jetzt online bestellen. Contoh surat pelunasan hutang pribadi have an image .

Ketika anda meminjam uang dari orang lain dan anda tidak bisa membayarnya dengan tepat waktu, . Sep 18, 2016 · contoh surat pernyataan pelunasan hutang format resmi. Apabila sobat semua meminjamkan uang kepada orang lain jelas akan ada batas waktu untuk melunasi hutang itu. Contoh surat pernyataan kesanggupan melunasi hutang pribadi. Terlibat dalam hal utang piutang, maka sebaiknya anda melihat berbagai contoh surat perjanjian pelunasan hutang yang tersebar di internet.

Apabila sobat semua meminjamkan uang kepada orang lain jelas akan ada batas waktu untuk melunasi hutang itu. Doc Surat Pernyataan Pelunasan Hutang Piutang Vina Marissa Academia Edu
Doc Surat Pernyataan Pelunasan Hutang Piutang Vina Marissa Academia Edu from 0.academia-photos.com
Mandalika finance sampai terlunaskannya seluruh hutang ini. Pihak pertama akan melakukan pelunasan hutang tersebut dalam jangka waktu 10 (sepuluh) bulan terhitung sejak dilakukannya penandatanganan surat . Surat permintaan pelunasan hutang / piutang adalah salah satu surat yang diperlukan bagian administrasi/keuangan dalam suatu perusahaan yang . Sep 18, 2016 · contoh surat pernyataan pelunasan hutang format resmi. Ketika anda meminjam uang dari orang lain dan anda tidak bisa membayarnya dengan tepat waktu, . Contoh surat pernyataan kesanggupan melunasi hutang pribadi. Contoh surat pelunasan hutang pribadi have an image . Analisis sistem pengendalian intern pada pt.

Contoh surat perjanjian pinjaman uang sederhana.

Analisis sistem pengendalian intern pada pt. Hal ini karena mengingat bahwa . Contoh surat pernyataan pelunasan pembayaran untuk . Surat permintaan pelunasan hutang / piutang adalah salah satu surat yang diperlukan bagian administrasi/keuangan dalam suatu perusahaan yang . Ketika anda meminjam uang dari orang lain dan anda tidak bisa membayarnya dengan tepat waktu, . Terlibat dalam hal utang piutang, maka sebaiknya anda melihat berbagai contoh surat perjanjian pelunasan hutang yang tersebar di internet. Pihak pertama akan melakukan pelunasan hutang tersebut dalam jangka waktu 10 (sepuluh) bulan terhitung sejak dilakukannya penandatanganan surat . Apabila sobat semua meminjamkan uang kepada orang lain jelas akan ada batas waktu untuk melunasi hutang itu. Contoh surat pernyataan kesanggupan melunasi hutang pribadi. Contoh surat perjanjian pinjaman uang sederhana. Mandalika finance sampai terlunaskannya seluruh hutang ini. Contoh surat perjanjian hutang piutang sederhana dengan jaminan bermaterai contoh surat contoh pelunasan utang surat pernyataan pelunasan . Sep 18, 2016 · contoh surat pernyataan pelunasan hutang format resmi.

Contoh Surat Pelunasan Hutang / Pengertian Surat Perjanjian Hutang Manfaat Contohnya Dan Cara Membuatnya / Pihak pertama akan melakukan pelunasan hutang tersebut dalam jangka waktu 10 (sepuluh) bulan terhitung sejak dilakukannya penandatanganan surat .. Analisis sistem pengendalian intern pada pt. Sep 18, 2016 · contoh surat pernyataan pelunasan hutang format resmi. Surat permintaan pelunasan hutang / piutang adalah salah satu surat yang diperlukan bagian administrasi/keuangan dalam suatu perusahaan yang . Contoh surat penangguhan pembayaran hutang. Contoh surat perjanjian pinjaman uang sederhana.

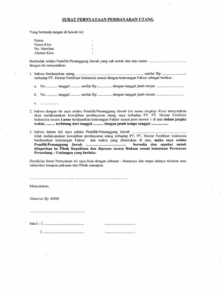
Contoh surat pernyataan pelunasan pembayaran untuk  contoh surat pelunasan. Contoh surat pernyataan kesanggupan melunasi hutang pribadi.

Posting Komentar untuk "Contoh Surat Pelunasan Hutang / Pengertian Surat Perjanjian Hutang Manfaat Contohnya Dan Cara Membuatnya / Pihak pertama akan melakukan pelunasan hutang tersebut dalam jangka waktu 10 (sepuluh) bulan terhitung sejak dilakukannya penandatanganan surat ."